The employment of Free Light Chain (FLC) test in the community is continuously expanding and incorporated into the assessments of unexplained tiredness or nonspecific complaints, even in the absence of clear suspicion of plasma cell dyscrasia (PCD). Consequently, there has been a growing occurrence of “incidental detection” of slightly abnormal FLC tests, in the absence of additional laboratory abnormalities, and data regarding the significance of this finding are limited.
The current study aims to explore the clinical significance of an “incidental” finding of slightly increased FLC test in a cohort of seemingly “healthy” subjects, defining patients at risk of developing PCD or lymphoproliferative malignancy (LPM).
This research employs a non-interventional retrospective cohort study design, utilizing data extracted from the electronic medical records of individuals insured in Maccabi Healthcare Services (MHS) tested for FLC in peripheral blood between 2007 and 2023. The index date is defined as the date of first FLC test, encompassing FLC-K, FLC-L, and FLC-R (FLC-K/FLC-L ratio) measurements.
Inclusion criteria were age ≥ 18 years and registration in MHS ≥12 months(m) prior to and ≥6m after FLC testing. Patients diagnosed with MM/SMM/MGUS/NHL/AL ±6 months from the index date and those presenting with elevated total protein (TP) levels were excluded.
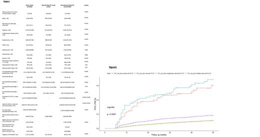
Patient characteristics, including demographics, pre-existing co-morbidities, and laboratory tests, all performed at MHC laboratory on the index date, were recorded (table1). The index FLC results were categorized as normal if FLC-K/L/R were within normal limits, or abnormal if at least one of the FLC-K/L/R components was outside the normal range. FLC-R was divided into four categories: normal (0.26-1.65), slightly abnormal (SliAb) (0.1-0.26 / 1.65-4), abnormal (Ab) (0.05-0.1 / 4-8), and significantly abnormal (SigAb) (Ratio< 0.05 or >8). The follow-up period was up to 5 years from index test, and documentation of new events of PCD/LPM were captured (figure1). Factors predicting a higher risk to develop MGUS/MM/NHL in patients with normal TP and abnormal FLC were analyzed.
11,241 patients with no prior history of PCD/LPM underwent FLC tests. 8,942 patients, fulfilling the study criteria, were analyzed. 6,687had an “abnormal” FLC and 2,255 had a normal FLC result.
The proportion of males and the median age in the abnormal FLC cohort were higher (50% vs 37%, p < 0.001; and 67 vs. 59 years, p < 0.001). Almost no patients had anemia, nor aRF, though, the proportions of both were higher in the abnormal cohort (7.4% vs 1.8% and 6.67% vs 0.9%, p<0.001, p<0.001, respectively).
1,153 patients presented with concomitant increase in Ig levels (IgG-464 (10.1%); IgA-205 (4.2%); IgM-484 (10.67%), and monoclonal protein was reported in 143 (2.14%).
The index FLC-R was normal in 6,620 (74.1%), SliAb in 2,181 (24.4%), Ab in 68 (0.76%), and SigAb in 66 (0.74%).
Within a median follow-up of 52 months, 1065 were diagnosed with PCD (965-MGUS; 96-MM, 4-plasmacytoma) and 92 were diagnosed with LPM.
Median time to PCD/LPM was 22 months (range: 6-60); 21.5 (6-60) for the detection of MGUS, 23.5 (6-60) for MM, and 57 (6-60) for the detection of NHL.
A multivariate Cox regression analysis confirmed FLC-R to be a significant predictor for PCD/LPM development (SliAb HR =1.47 (CI: 1.25-1.71, p< 0.001), Ab HR = 6.8 (CI: 4.65-9.44, p< 0.001), and SigAb HR= 7.61 (CI: 5.15-11.25, p< 0.001).
In addition, age > 75 HR 1.83 (CI: 1.37-2.43, p < 0.001), elevate levels of both IgG (HR: 1.34, CI: 1.07-1.68, p=0.01, IgM (HR: 1.73, CI: 1.41-2.1, p<0.001), IgA (HR: 1.62, CI: 1.2-2.2, p=0.001), and osteoporosis ( HR of 1.36 (CI: 1.16-1.6, p < 0.001) were found to independently predict a higher risk for PCD/LPM.
Concurrently, increased IgM level (HR: 3.2, CI: 1.8-5.7, p= 0<0.001) or a decreased IgM level (HR: 2.5, CI: 1.3-4.8, p=0.006) were associated with increased risk for LPM.
Our retrospective cohort study emphasizes the independent clinical significance of elevated FLC levels and abnormal FLC-R in “healthy” individuals, being a “rough” predictor for PCD/LPM development, even in patients with no increase in their TP levels. This can be used as a simple risk assessment model that would incorporate all independent factors found to be associated with increased risk for PCD/LPM; thereby enabling physicians, especially in the community, to monitor their patients and promote an early detection, when required.
Disclosures
Cohen:Amgen: Consultancy, Honoraria, Membership on an entity's Board of Directors or advisory committees, Research Funding; Takeda: Consultancy, Honoraria, Membership on an entity's Board of Directors or advisory committees, Research Funding; Sanofi: Consultancy, Honoraria, Membership on an entity's Board of Directors or advisory committees, Research Funding; Janssen: Consultancy, Honoraria, Membership on an entity's Board of Directors or advisory committees, Research Funding; GSK: Consultancy, Honoraria, Membership on an entity's Board of Directors or advisory committees, Research Funding. Avivi Mazza:AbbVie: Honoraria.
